利用臭氧(O3)氧化降解酮洛芬(KET)模擬廢水的研究
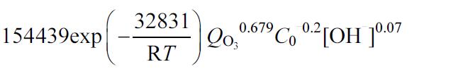
摘要:利用臭氧(O3)氧化降解酮洛芬(KET)模擬廢水,考察了初始pH 值,臭氧流量(QO3),反應溫度(T)及KET 初始濃度(C0)對臭氧降解KET效果的影響.在KET 初始濃度為20μmol/L,臭氧流量0.4L/min 的反應體系中,室溫條件下,研究了pH=4,7,10 時O3和羥基自由基(·OH)分別對KET 降解的貢獻率.采用競爭法,以布洛芬和苯甲酸為分子探針,分別測定了KET 與O3,·OH 的二級反應速率常數.結果表明,不同實驗條件下臭氧降解KET 符合準一級動力學.pH 值,QO3及T 的增大促進了KET 降解,C0的增大抑制了KET 的降解.通過對實驗數據進行擬合得到表觀一級動力學的冪指數方程(k=154439exp(-32831/RT) QO30.679C0-0.2[OH-]0.07).體系中O3和·OH同時對KET存在氧化作用.在設定的條件下,pH 值為4,7 和10 時O3對KET 降解的貢獻率分別為18.4%,11.0%和6.2%,而·OH 對KET 降解的貢獻率分別為81.6%,89.0%和93.8%.測得KET與O3的二級反應速率常數為1.09L/(mol·s),與·OH的二級反應速率常數為8.82×109L/(mol·s).
近年來,藥品及個人護理用品(PPCPs)作為一類新興環境污染物備受關注.酮洛芬(KET,C16H14O3)是一種常見的PPCPs類物質,被廣泛應用于消炎解熱鎮痛以及治療風濕性疾病.目前我國每年生產和使用KET 約92t,其對環境造成的影響不容忽視.研究指出KET存在于污水處理廠出水,環境水體以及飲用水水源中,濃度通常在μg/L~ng/L 量級,由于自來水廠傳統的工藝不能完全去除這一類污染物,因此飲用水中可能含有低濃度KET,長期飲用將帶來健康風險.目前關于降解KET 的研究較少,Real 等通過研究紫外光對KET 的降解,得出10min 內KET 的去除率可達99%;通過研究酮洛芬的光化學行為得知,酮洛芬的光量子產率為0.14,對光子的利用率較低.此外,采用電芬頓法降解KET,得出5min 內KET 的降解率可達85.7%,但該方法對pH 值的要求較高,不利于實際應用.臭氧(O3)是一種清潔的,環境友好的強氧化劑,近20 年來得到廣泛的研究與應用.O3能直接氧化有機污染物,氧化還原電位2.07V.在一定的條件下,O3 能自分解產生活潑的羥基自由基(·OH),·OH 是一種強氧化劑,氧化還原電位為2.8V,能將水體中難降解的大分子有機污染物氧化降解成低毒或無毒的小分子物質.臭氧對不同類型PPCPs 的降解效果有很大差異.其中,臭氧可以高效降解水中的抗抑郁藥西酞普蘭,廣譜抗菌藥磺胺甲惡唑,抗炎藥雙氯酚酸,而對抗驚厥藥安定及脂調節劑氯貝酸的降解效果較差.此外,目前關于臭氧降解KET 這方面的研究仍未有系統報道.
本文研究了初始pH 值,臭氧流量,反應溫度以及KET初始濃度4個因素對降解效果的影響,并建立了臭氧氧化法降解KET 的表觀動力學方程.以競爭法測定了O3以及·OH 與KET 的反應速率常數.研究工作可為臭氧氧化技術在處理KET 的應用提供理論參考和技術支持.
結論
1 臭氧氧化法能夠有效地降解KET,其降解效率受溶液初始濃度,臭氧濃度,pH 值和溫度的影響.KET 的初始濃度越大,其降解速率越小;臭氧流量的增大,KET 降解速率增大;pH 值對反應有很大影響,堿性環境對KET 降解有利;溫度越高對KET 降解越有利.
2 臭氧降解KET 的活化能E=32.83kJ/mol,低于一般化學反應的活化能(70~170kJ/mol),說明臭氧法降解KET 比較容易進行.
3 在本實驗設定的條件下(KET 初始濃度2~40μmol/L,臭氧流量0.06~0.6L/min,溫度為288~318K,初始pH 值為4~10),KET 的降解符合一級動力學,表觀動力學方程為k=

4 臭氧作用下KET 的氧化降解既包含了O3的直接氧化,也包含了O3誘發產生的·OH的間接氧化.
5 在KET 初始濃度為20 μmol/L,臭氧流量0.4L/min,室溫條件下,初始pH 值為4,7,10 時,O3對KET降解的貢獻率分別為18.4%,11.0%,6.2%,而·OH對KET降解的貢獻率分別為81.6%,89.0%及93.8%.KET 與O3 的二級反應速率常數為1.09L/(mol·s),與·OH 的二級反應速率常數為8.82×109L/(mol·s).
摘自:林曉璇,劉國光*,李若白,孔青青,陳智明,李富華,陳 平,陸一達 (廣東工業大學環境科學與工程學院,廣東廣州 510006)
中國環境科學 2017,37(2):598~605